中国科学院光电技术研究所薄膜技术研究室在从事先进镀膜技术研究的同时,积极探索新颖薄膜体系中的光束传播特征,在利用负折射率材料调控光子塔姆态(Optical Tamm state)的以及光子的安德森定域 (Optical Anderson localization) 方向取得了一系列进展,相关结果发表在光学期刊《Optics Express》上,论文第一作者为光电所在职博士研究生、助理研究员柳存定。
负折射率材料是由人工制备的的具有新颖光学性质的材料,这种材料同时具有负的介电常数和磁导率,光从常规材料(正折射率介质)入射到负折射介质的界面时将发生负折射现象,折射光线与入射光线在界面法线的同侧。负折射介质改变了对光波传播的传统认识。负折射介质由于其独特新颖的物理性质和诱人的应用前景而获得了国际学术界的广泛关注,近年来负折射率材料加工制备技术获得了极大的进展,研究负折射率材料对光学薄膜性质的影响对未来加工特殊光学薄膜器件具有重要的意义。
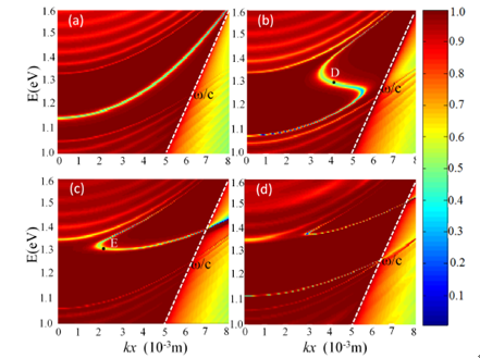
首先,研究人员将负折射率材料引入金属-反射膜结构中,发现负折射率材料调制金属-反射膜界面上的光学Tamm态色散关系,产生具有负的群速度的光学激子,这种具有负的群速度的光学激子在信息传输等领域有着重要的引用。研究人员进一步调整负折射率材料薄膜的厚度(图一),发现负的群速度光子激子产生条件和光的能量传播方向以及平均能量密度密切相关,只有当光的能量传播方向和体系的平均能量密度相反时,负的光束传播群速度才会出现。
研究人员进一步开展了负折射率膜层中折射率无序影响光学薄膜体系中光子的传输特征的研究,他们通过选择正负折射率材料使光子的传输在无序缺失的情况下完全透明,然后在体系中引入折射率无序,研究了光子晶体、光子准晶等不同结构中光子的定域特征。研究发现,在当多层薄膜体系中的折射率平均值为零时,在折射率无序体系中出现反常Anderson 定域,其定域长度的度规参数和薄膜的结构密切相关,如图二所示。该研究对改善光学薄膜体系中光束传播性能具有重要作用,在太阳能电池等领域有着潜在应用,研究成果发表在Optics Express专栏中。

图一:不同厚度的负折射率薄膜对应的光学Tamm态的色散特征

图二:不同结构的薄膜中光子Anderson定域的度规关系